Transparența salarială la data de 30 MARTIE 2026




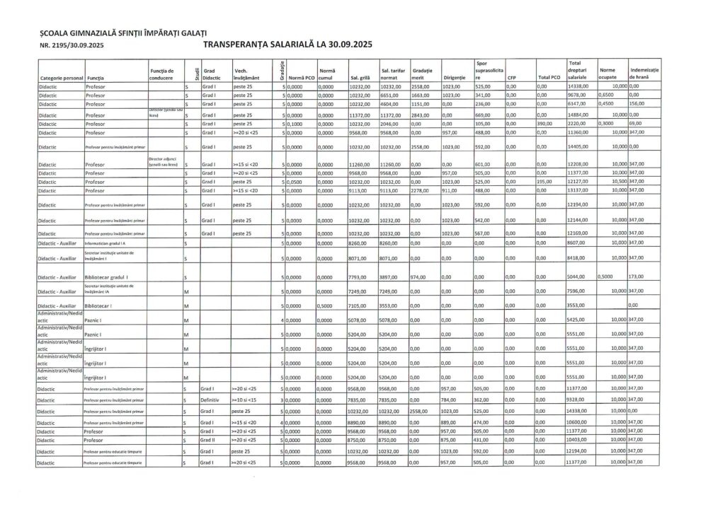
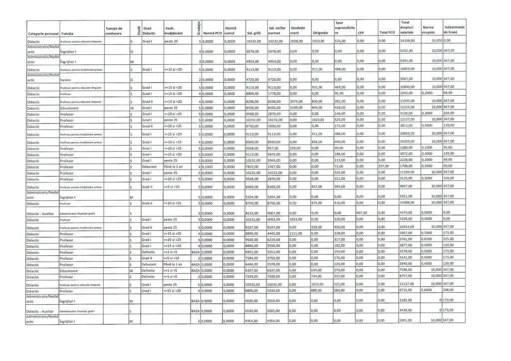
Transparența salarială la data de 30 septembrie 2025



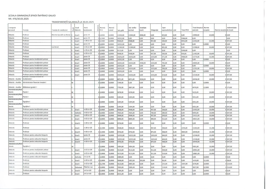
Transparența salarială la data de 30 martie 2025

Transparența salarială la data de 30 septembrie 2024


Transparența salarială la data de 31 martie 2024


Transparența salarială la data de 30 septembrie 2023


Transparența salarială la data de 30 martie 2023


Transparența salariala la data de 30 septembrie 2022


Transparența salariala la data de 31 martie 2022


Transparența salariala la data de 30 septembrie 2021


Transparența salariala la data de 30 martie 2021

